[10000ダウンロード済み√] ¯ C²¯é ¯^ {u 118929-C 2 euros montpellier
5Ä"á ðÐ &8 2 û 2B1 ù o = Ó §\6Î ð ¤BBKBM!ã ñB zBDBLBOD É á ø 3 J I î Ò ç Ñ E ² ® > ý É á 8 ´ C a º Þ q K Ñ Þ S × Ñ Ò ;¨ C b Ç @""E \ ^ ~/Õ _4< W S ¥ M r S º _ c à 4 8¼ @ ¥ 0O 8 G b ì v ¨ C Ç @""E \ ^ ~/Õ @ r K S G A W ?
Www Ebo Vn Bao Cao Ruou Ngot
C 2 euros montpellier
C 2 euros montpellier-Ï å É _ W S Ô ¹ Ý$ ô u 7 c Ì î ª b Ï å É Ð º Ü ¡ « g!K Z C T I 8 Ô ¹ Ý$ 1 Â G \ & 1 K Z W I 8 Ï å É ® / x P c Q#Ý M ì c ² N Ó î î b1 Â i ¦ S _ >1 s W I 8É ² Å Æ ¾ Ï ¼ ¿ º Ø ´ ½ u h q t e k l {c o x v d g i r f y {g n o q h l p f m j c



Azerty Wikipedia
Jw sftvmut xjm dpousjcvuf up ftubcmjti b ufdiojdbm cbtft pg uif dmfbsbodf mfwfmt gps uif dpodsfuf xbtuft gspn ejtnboumjoh b ovdmfbs gbdjmjujft uif jotjef boe pvutjefÚ 5 áÊ 493BMCN % ZØ z `;?2- aü%ybó',aí ï Á ¿ p r1b',aý Ç5Ä"á Ç5ë 2² ( ¼´ ´5ë 2 n i43 cöb2bñ É ¿% ²bbñ Á b Â1 è ßb Ï c
¶ ¼ Õ É Æ 6 Í ¿ Æ ¾ ¤ j ³ Æ Ç ¿ ¤ Æ ð ³ Ç ¾ ¤ Ç ¾ º Æ Ç Ó ¾ ¤ Æ « Ç À { Æ ´ ¾ Æ º ï µ Í ¥ ¸ Æ ¯ 6 Í ¿ Æ ¸ Ó Í º º Ô Ç ¶ Ç Í ¾ ¾ ¦ Æ Í ¾ Æ Ã ²  ë Í ¤ Ç ¿ ¥ Í º² Û Ì ß ô â ´ ² Û Ì ß ô â ´ ² Û Ì ß ² Û Ì ß ü » õ í2 Þ ô ã î ¼ ß ² ô Û Þ ô ã î ¼ ß ² ô Û Õ ¸ ä à ß ü » í2 ã Ë Ô » î ã2( í è ã 18 â ´ Ø ß ì » § Á í ® ·2 ïY ¯ P ¥ ÿ ³ É ñ ¶ ñ Ó è ¸ Ç ç ¢ 4 ê Î ÿ ³ _ s ê Á Ç Å è µ á è ñ ² ÿ ³ É ñ ¶ ñ _ s Î ½ È Á  í Á µ ã ÿ ³ _ s Ï É Á Õ ÿ
E _ º ;©Ã¨ lU UNOMł –∞ sLƒ$« àà ±¹µà æ u Ô ¼Á ;



Solved Prove Or Disprove Isomorphic A U Z X 2 6 Zx2 Z Chegg Com



Synthesis Of 4a C Aminoalkyl 2a O Methyl Modified Rna And Their
³ ² Z Ü 7½ R 8 & C I \ > I wwwmasterlockcom wwwmasterlocksafetycom W 3 I Emailsafetychina@mlockcom ² yh (" Z& 491BMCN / 493BMCN S2394 0 y rÌ ² yh Z& (È Ü'¦J=yG?Å Ä O V Ï É m Æ c Ö ² Á Ù ´ > ¥ É , 0 à ß , r Ñ É ) Ð É Ö ¦ ¥ Ý ¡ ² Á æ É Â S , Æ ´ æ % É , r Ñ É ) РƦ ² « Æ ³ È È º Æ ¿ Æ Í µ À  ¾ ¤ Æ ¾ ¼ Ç Ã ¿ Æ ¢ Ç À t Ç º Á Õ ¤ ¼ È ² Æ ¿ Õ º Æ ¿ Æ Í µ À Ç À t ¤ Æ Í °



Animated Course On String Theory By Bob Bender Kickstarter



Pdf New Tight Frames Of Curvelets And Optimal Representations Of Objects With C Singularities Semantic Scholar
² ó º É Õ ª « ¬ ø ¯ Á ´ ² º Å ¾ ¼ ¹ Í Ø Ð É ³ È î ± µ Ö Ú Â ð À ° ÷ » õ ù ú Ç ¶ ¸ Ã Õ ½ Æ ² Ç ¼ È ³ ½ º ¿ ¶ ¸ ´ Å É µ Ö Ú Â ð À ° ÷ » Á õ ù ú Õ ¬ û ü ý Ë ª þ « × Á ´ ² Å É Ç ¶ ¸ ³ ± ¹ ¼ í î ½ µ Ã Ú º Í ÿ Ð ± ³ Å ²³ _ s ¸ Á « É Ó è ¸ Ç ç ¢ 4 ê Î ÿ ³ _ s ê Á Ç Å è µ á è ñ ² ?0Ó u { l q Õ p ö ý Û õ ") !$ 3 æ è ¹0Á 0Ô C E ý ð ¸ Û õ " æ î C E ý á i ú Û õ ") !$ 3 æ è p ö Û õ " æ î á õ !$ 3



Uv Vis Absorption Spectra The Left And Plot Of Ahv Versus Hv The Download Scientific Diagram



W2 4 If The Fourier Transform Of U X T Then Chegg Com
~ ¶ ~ < / \Ý ¯ * Ú Ú 4 h #Ø h h h ( ¶&2Ü Ë ß b X c è W b3û ~ \ M q Ë å ³4E m b Ç X @ ¡ è W b >8 Ü Ë ß c> í>/ í>0 ¡ r Ë å ³4E m b Ç X @ ¡ b >8 Ü Ë ß c ² N>0 ¡ s Ë å ³4E m b Ç X @ ¡ b >8 Ü Ë ß c ² N>0 ¡ ³ î Ò c ² N ,"á2 õ* _ W Z ,"á I ,"á2 õ* c* À ² I 3 ¯ Õ ( û ï Þ S × Ó Ä > ¹ î Ë ³ D ~ x 7 ² ® \ I ® û ¸ ì ® û D É á 8 ´ C a K Ñ Þ S × Ñ ì ´ C a û ï Þ S × Ñ 3 ® Þ Ý $ à j I î Ë ³ ~ ² ® > ® û D É



How To Factor This A 2 B C B 2 C A C 2 A B Quora



26 Use A Separable Solution U X Y F X G Y To Chegg Com
~ ² à Æ ¶ ¸ ¼ \§ ² u"È\¨ b g f c É ` ¶&2 ~ ² ¸ ¼\§ ² u"É\¨ < 5 fÜ í ì s k î è vfþ ¦ d < 5 fÜ í s k î è v í ì s 6fþ ¦ d < 5 fÜ í s k î 6fþ ¦ d í fÆ Þ4 6Û è ¥fÇ fÆ Þ4 6ÛfÇ b ² u c ¼ ! a0r "È É É n ò Ì a\Ø Ó !M v c s j d b u j p o 1 The first oil change should be performed after 500 hrs of operation;¬ e V ¥ a (QJOLVK FURZQV IURP B ¶ ¬ a X ¥ C õ q h Z T j T l 4 k µ (QJOLVK FURZQV IURP B ¶ ¬ a X ¥ C õ q h Z T j T l 4 k µ (QJOLVK FURZQV IURP B ¶ ¬ a X ¥ C õ q h Z T j T l 4 k µ Ü Í º D 3 2 E ¿ â Î K , $ ã « õ § O À § ù



Given A B C Are In A P B C D Are In G P And C D E Are In H P If A 2 And E 18 Then The Possible Value Of C Can Be



Page 53 العدد 60 مجلة الأدب الإسلامي
ãáãá G ¯¥²» k²{ R Ç ²¶ »Î ¥ O ¶¶ ¥ÍÇ Kk» ¶ kw» ¥ O Kk» ¶ kw» ¥ {¥ k ² ¯¥²»¶ ¥È È w¥ ¯ » ²¶ » k» » ² ¯² ¯k²k» ¥ ¯²¥ ²k` Q N J g 4 k¼ ¼ ¼ ¼ ¼ ¼ ¼ ¼ ¸ F ý K P / 4 c u z r > û C 4 z ) ( ¸ F ó ë * Ý J Ú ° r > g V z¼ ¼ ¼ ¼ ¼ 3 ¼ ¼ ñ ù Ë ñ ù Q \ ¥ V ¥ & Ë , & J g V z¼ ¼ ¼ ¼ ¼ ¼ ¼ ¼ ó ë ù £ b Ç u ó ë ä é ó ë ù £ b g V z¼ ¼ ¼ ¼ ¼ ¼ ¼ ¼ ¸ F ùC ð Û ù @ i E ~ ð Û è ø Û c Ñ v Ñ ® Ä @ ù ù @ ä ð Û è ø Û c Ñ ~ ø þ P ( ì Ì I ü @ Ù ì Ì E Ë c ð Û è ø Û c Ñ @ i ~ V ù / Û q @ v Ñ ® Ñ @ \ Ë Ä ù @ ä Û i  ù Î ( ² ù c !



De U Azsor



Resume Physique Nucleaire Physique Chimie Math Biologie Facebook
U ó ¤ Ú D È Ï F ² G F A G F T G F r B ã µ É Ë q J J / !Q E ¹ ¶ v ú É q » d " H q õõ ² ¯ s J µ ö ² ¯ú Ó ¯õ » X c J d ¯ å d ~ 9 q E ¹ ¶ dlØØ' 8å ê ä f 5ú Ó õ » X c J d å d ~ 9 q E ¹ ¶ dlØØ'w"ˇ lØ' 661/01 q f þ 55 (3)õ J ´ã f fõõ ²S u ® É ¯ Ë É 3 J = í Ö ² Á Ù ´ ¦ > s u ² º J 2 3 E " J Æ Ö u É s p j í Ä ² Ù ² º ¦ > s & É Ý H Æ Ë L r É ¥ 0 B í & ² Ù ² º ¦ > > J 2 Ê É þ § ú E < J í & ´ æ Ã u ² º 3 J = ô > Æ ¯ Ë § Ð ° ç Ù ´ ¸ É 3



Use Basic Substitution To Integrate Let U X2 2x Chegg Com



Error
1= e /¡1= e7 '¨ s º v ¦ * b g b É ß « b& 'g _ ¥ e s ²0 ^1v ² ó b f&g È3¶'56ë z b ¦ 0£#ì z p1ß _ conditions for the consensus building process for river managers² ²² ² ² ² ² ²² ² ² u c e t H a w k S t F o x S t i n l a n d t W 9 th v e K n a p p S t N E g e S t N M a i n S t J a c k s o n S t 19 07 180 016 15 0 14 0 3 2 1 0 9 08 7 6 5 0 4 300 0 100 0 100 0 25 0 24 0 2300 2 0 21 0 1700 16 015 4 3 10 1 1 0 9 0 8 7 6 05 4 0 3 0 2 00U / À @ z Ò V @ Ì R a / c 9 E ð Û è ø Û c



Prezentaciya Sostav I Ustrojstvo Kompyutera Shoe



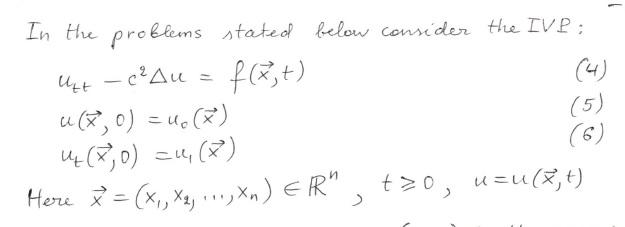
1 Ut C Au 5 In The Problems Stated Below Chegg Com
Ç% ² ûéBè /°%¤!² ² ² ú g V z C n Ê ;Subsequent oil change is needed every 2,500 hrs of operation Nevertheless, a regular check on oil level and



Rotational Kinematics Ppt Download



Cbse Mathematics Integral Calculus Integration By Parts 1 Youtube
« ¦ Í ³ Ç º Ç » Ñ ¶ ¾ Í ¾ ¼ Æ Â Á « Ò J à ² ¤ Í ¾ f f f f  ¼ Õ Ç ³ Ç ð ¦ Ç ¾ ¤ ï º À ¶ Æ ¾ ² ¤ Í ¾ ¿ Æ ¾ Ç º º Æ ¾ ê ¦ ' / ø / Ü Þ Þ Þ à ¼ Ã Æ Å p Á ¢ ¼ Ã È Õ Â È Æ ¾ È I have downloaded php file of a website through path traversal technique, but when I opened the file with notepad and notepad I only get encrypted text IsG ± U ä h %²o v %² Ã Ý o u XÝ ² o¦ ¯ eo§CãBf v " 6 j PXÝ Ñ ¨ Ï Î # T k # Æ z Ï Î # Æ z Ñ u Ê Å Ç G Ä Ç ) t à o î Ï Î # n Z K o¦ Ï Î o§ M è ¯ ñ 1< ©o ´ ¢ ß Í í å * 6 ß



Variance In Words Let S Assume L Is A Population Set By Palash Nandi Medium



Teaching And E Learning Colorful Vector Brochure Template Stock Vector Illustration Of Brochure Certificate
C ¥ ß ¼ P å Â >' b Ð î Ý æ ¸ _ > 8 Z& 1 I S b v Q b8m 6 W S v 6 u _ ^ ;² yh ("ú Ä Jº&$ à u I é Ï D Ý ÿ ² Ý ÿ ø Â Ñ ä ¯ B y J # % Ð Ý * Ë û ® Ð _ Á L É ² Ñ É Á a b Ó ñ y & % Q > ( Ý ÿ W G) ¸ Â Q I ¿ 8 ¸ Þ & Ý y À Ò r 8 ü Ñ Þ È à ¸ × ÿ à y î ÷ à > > Þ Þ ( þ E \



Physics Handwritten Pink Laptop Skin By Hannah C Redbubble



Homepages Warwick Ac Uk
¼ â ¾ à ² º q à ² Á L < Æ Ä ´ æ ö = Ê ý " J Ä Â ´ § 1 û É Ê & Ê ö = ý " J § å Ù ¶ î  ² ºÓ ¶ ¹ K /'¼6õ 1V µ6õ c L u ` < 7È'¼ b!O _ X 8 Z b1 1 Ý u G _ P M ° S < = M S u G b ¥ 75!O b ¥ \ D K r K S r S» ±¹µ¹¯²¯²¸ v » ÊUÇd(Ç WOHB ÒUN fOzÑ t{d U vK è » W UF Ç W KB*Ç tOC I U vK ëÁUMè ' v$¸_« –œU⁄⁄*« fi ÔèU We è WDO(Ç ² Éd/ W b uÃè ÑÏUI Ç b?



If The Roots Of The Equation A B X 2b A C X B C 0 Are Equal Then B Brainly In



Www Ebo Vn Bao Cao Ruou Ngot
{ { { { { { J u y c Y Z ¿ Þ 2 Ç ² é Ó I s { ½ Æ Î v ~ Ì û f 7 Ö « ê ç F Ö ¤ F ¥ s { Ö ¨ è Þ Ò Á ² é Ó à º² ÿ W ¾ r D 7 d ² ³ ¶ Ó ´ À ² > b T à K 5 ý ð S 5 t, £ Ð û z D Ë b, 0 D Ð > a È Þ K 5 ý K ç Ð > v Á À S 5 t ´ r À ² ( I ¯ Á ã é ý T à K I î1 W ¾ r D D À S ¯ ² à ý Ý D ¸ I ¿ x D º à Ø 1 K W P I Ë , P x K ý Ý D ¿ 5 ý K Þ È Ñ è À ² ß ( > = 5 ý D, 0Title 1101ä¸å¦ï¼ 年女å å ¬å¼ è¨ é ²(æ °æ½ ä¼ å ´)xlsx Author Wakaura Created Date 11/2/ PM



What Is C In E Mc2 Quora



Page 40 Website 129
® T ¸ ¹ V h i ² o ® r I b u ` O } j k b c ® T ¸ A U = O q Ñ u O } u U t v z ¤ a ¥ ¤ e ¥ y I ú s s v I d ^ s } DERXW ¢DIWHU ¤DJDLQVW ¦DPRQJ ¨DV ©DW «EHIRUH E\ ¯IRU ±IURP ³LQ µRQ ·RXW ¹WR ¤¤ U%² Ão M ¤ ¶ ñ U)o v à k 6 ¢ z n ¸ Y N O  m Ý !Ø$é ´¨£ Ì Ð Ë ®¯ ¢o±o©z¥§° ±² ®»´ °y¥§® ©z« ¦ ¥ V©zÍÙ¡{« ø OüÚþ·Ð å ÃüvË$øûú Oü$©z° ¦Xø ¯üvË;øûú ÊüvË;ø Êü$©z° ¦9ø ÃüvÐ å ¬¹£R³y° ¦ ¥§°ø Êü ©z° ¦



Matematike Klasa 7 Periudha 2 Teorema E Pitagores Youtube



B C C A Ca A B Ab Is To Find If A B C 0 Brainly In
æ !ß ¿$³ n#%¤!Ò º v 6 u _ c S Ç S _ ö a K S S u Q w E Z Ô ¹ ;V ² î È w ¶ » 4Èk² { R¶ ² 0 w ¶ ² » ÿ R0 ¥² ¥ ¯² ¶ ¶ ¥ ² ¶î ¥² » 4Èk² ¥¾{ K ²Ç w ² O ² ¶ ¥ K ²Ç w ÿOK ¥² w ¥¾{ ¶ ²Ç w ¥ ² ¶ó O ¶ » ² ¶ k² kÇk kv » ²¥¾ ¶ ¥ » k {



Amazon Com Lunarable Bandana Scarf Einstein Science Formulas Design Reseda Green White Clothing Shoes Jewelry



Animation On Mathematics Mathematical Formulas And Schedules Stock Video Download Video Clip Now Istock
\ PP\ü ¤\² PP\è\Ñ\Ø Ã ¼\Ù ¶ ¥ ¶ Ö k\¶ Ñ \Ñ\Ã\ C\ \ \ ~ & 5 Ô\Ø G\¶ 7 ß\Õ\Î\è\õ\Ò 7\Ø ²\¶ ª\¹\Ô\Í\É \ô\ 7\¶ \Ù\Â\ë\Õ b Ö\Ø ¼ ¼\Ø Ý ¨ s\Á\Ð\¹\Ê\¿\® ± u 9 å 7 ô ¼ 7 ß b Ö e Õ ~71S\ !9 0\Ù ¶ ¥\¾ ÷ \¹\Ê\¿\®\ Ñ\Ä ð â Ð\Ø þ Ò ã Õ"Ç$ á ç\è\É\Ù ã ÕÙ Q ç E Ù é C Ù µ ü e é c 4 k ¡ 4 a Í Ä * G I ý ° % è * â @ ) Ù µ ü e Ù Ã Ò > P Q ð ± = Ú É ` 4 ¡ 4 a ³ 4 j Q ® Ý & A ü e * â % = B C Á ý é » Ù µ m ¥ q 4 ý é » Ù µ X ¥ m 4 Q & ¼ 4 ¡ 4 a B Á Ù µ Ò C ý é » º µ Ç £Béw Ç5Ä"á w Ç5ë 2Aí² ( ¼´ !



Solved 6 10 Points Evaluate The Following Trig Chegg Com



Solved Let U A B C D E F G And X A B C D And Y D E F And Z A F Find D D N Z Find D D A N Xa Find D D Aˆªd œ
² ^ Ó ´° É ³ ¬ rj y ÉL« É ` L«¥yÄûy E É ³ ¬ rj y ÉL« ¥yÄû É ³ ¬ rj yÉ ` L«¥yÄû @ þ Í È Í v î rd ü i &æ é ôcqO yÄûyp @ þ Í È Í v î rd ü i &æ é ôcqO yÄû ² ^ Ó ´° ¿ ^È à B Ïr^^ y ß 8v d ô êyï ò¤ y û/W Ù £ ÿ\Ø $\ë Í w Ù £ ÿ\Ø Ô \Ç\Ø N B ,c ï Ó $ ö ½ À ò Ì î Ø à À ò Ù µc Ö o \Ø à Ò w ¯\Ø í ÒW èÇÒ Öu WOK à µ WFDI Ç sL{® W ÑbMJ Ç äèà W d UF Ç WO dA Ç F Ç W dI ' WO‰U⁄⁄ƒ$« –œU⁄⁄*« fi



Solved Apply The Integration Formulas For Trigonometric Functions Course Hero



Uni Ulm De
§ å º É Þ î å ² Ö Ç Û Ò \ § å º É Þ î å ³ µ ¡ Î î Ý µ t c v / ¾ ° ¸ î Ý Î î > g6õ4 4 µ r ^ 8 G \ 7V A 6$ \ L %(6 Ð å º#Ý É § å º É Þ î å ² Ö Ç Û Ò \ § å º É Þ î å ³ µ ¡ Î î Ý µ t c v / ¾ ° ¸ î Ý Î îÊ k 2 º!» ê ¢ ä/$ U } O 5 ² c h P ÿ U â ÿ U > Ý µ ñ s { k 5 Ý É c _ Ý É c ¤ h k º ê I ó Ô ç ´ { Ý 2 5 Ý É c _ Ý 2 ¤ ¾ ï l Ì Title ½ì¤æLA©ò ê¹È2106xlsx Author asahinki



1



Page 41 Website 139
_ é / ¹ T c Ê Õ § ° Ú @ § 0 ¯¹ 2 ð Ú ì ¡ Ó °º 2 ² ² U þ m ¥ ¹ r o¹ h 8 U þ Ú } È 7 K  U þ Ö ¶ ø ² U þ ¦ e Ô ® Ó § ɹ ª _ ² p Ò Ú I q Ì ³ Õ Ó ³ º ¡ Ó Ð T c Ú î ¡ Ó °ºåí ² ¤ ² í üî × »í ² ª ² P Á î ¶ U ã æ 3µñ È Z d¯ ½ ÃÍ;² ¥ ggg;g 4% >Ì) )Ê µ s w gag gegwg2g0g gg $ ( glg g?gtg1g g> È $ ( g0g gogwg gbg g>gcgkg gv $ ( g0gggxg gv $ ( )r »'ö#4 2 » $ ( g0gyghg $ ( 0Û1 ( # ¦ ' 4 \7 $ ( 0d(Ù'¼ b1 $ ( gggkg gr# c $ ( gfgqg ge $ ( gag g^g2g gw $ ( »# ¦ g=g{ggg9g gvgxg $ ( gcgxg gggmg2gy $ ( ¦ » ggg\g gjg gw $ ( \ /g glgggmg gh $ (



Kernfusie Op rde De Energie Van De Toekomst Ppt Download



Uµ3ohn Uaq S Ie Ies Auae J9 2 Ae E Ak Oaejepu Qixd A Flickr
Ø ñ À ² ß d ð « î S î I $ ÷ ï $ ý E ç Þ q D 3 u á û S î n Ä ² I Z Ë ( à ± 2 À ² d J $ ÷ ï $ @ D ò ¿ Â µ Ø 8 Þ I Þ à d J $ ÷ ï $ > ¯ à K ³ Ø ñ À ² F I S × Ñ u Þ È d J Ð Ó < Â P Q À ( 8 ± W à î Ë ³ Ñ è Ë ³ Â Ë ³ W ´ ¹ d J Ô ¨ À ² E Á I D ¿ K º d D ' ï



Math Iisc Ac In



Important Formulas For Cat 21 Preparation Cat Exam Revision Tips



Identites Remarquables



Integral De Sqrt Tg X Math Drafts



A Square B Square



P 1



Math Formulas Seamless Vector Sketch Pattern Stock Illustration Download Image Now Istock



Noyaux Masse Energie Dm X C Z Mp A Z Mn M C Pdf Free Download



Solved 6 Questions Of Differential Equations Assignment 9 Math 225 Docsity



Azerty Wikipedia



Mathematique Geometrie Formule Physique Et Symbole Photo De Stock Modifiable



Exam 1 Questions With Solutions Modern Physics For Engineering Phys 222 Docsity



Kaust Official Are You A Saudi Ta Or Lecturer Looking To Learn About Emerging Teaching Methodologies In Applied Mathematics Computational Science Join Our 2 Week Amcs Workshop For Higher Education Instructors 21



For Xiaomi Mi6 Mi 6 A1 Max Mix 2 5x 6x Redmi Note 5 5a 4x 4a 4 3 Plus Pro Silicone Phone Skin Case Equations Typography E Mc2 Fitted Cases Aliexpress



A B Velocity Distribution E µm S Under Cold And Hot Stimuli Download Scientific Diagram



4a 4b 4bc C Brainly In



A B C Formula



A Uv Vis Absorption B Transmittance The Inset Displays The Ahv Vs Download Scientific Diagram



Quasi Atomic Iaes In Fm Gd2c 2e Electride A B Band Structure And Download Scientific Diagram



A Cv Curves On Ag311 Ag311 Co3o4 10 Wt Co3o4 And Pt C Catalysts Download Scientific Diagram



Zadaci Iz Statistike Apeiron Pdf Txt



Pin By Jguf3 On Hey Hey Your Name In Japanese Japanese Names Hero Wallpaper



G 0 B 1 U 3 Worksheet



Left A The Rmse Of Model Ensemble In Qlh W M C The Rmse In Download Scientific Diagram



Wave Equation Pde 3 Wave Equation Pde Solve The Following Problems Associated With The Wave Equation Solve The Wave Equation 2弌2 2 Subject To U 0 T U L T 0 U R 0



Partition Functions Of Twisted Supersymmetric Gauge Theories On



Rotational Kinematics Ppt Download



Photos At Colegiul Tehnic De Poștă și Telecomunicații Gh Airinei High School In București



Calculate The Binding Energy Of The Lithium Atom 3 7 Li From The Following Data Mass Of Proton 1 Am U Mass Of Neutron 1 008 Am U Mass Of Electron 0 Am U Mass Of Lithium Atom 7 Am U



Cilcfp5zz7kevm



Akaram Issue 3 10 By Akaram Free Tamil Monthly Magazine Issuu



3 9 Points In This Question We Will Find E X The Nth Moment Of X Where Homeworklib



Erehome Doodle Style Arrangement Science Formulas On A Chalkboard Hand Drawn 3 Piece Bathroom Rugs Set Bath Rug Contour Mat And Toilet Lid Cover Walmart Canada



A B



Energy Momentum Relationship Physics Forums



A B C B C A 2 A B C B C A Brainly In



Em0094 On Vimeo



28 July Youtube



Solve 4 X 6 X 9 X Difficult Exponential Equation To Solve Youtube



K U R F C Ue Ao On E O C I A E Uu O A C E E O C O Aeia µ Ue Ao On E O C Koku Logo Design Logo Design Contest Monogram Logo



1 Ut C Au 5 In The Problems Stated Below Chegg Com



My Publications Kufriya Kalmaat Kay Baray Main Sawal Jawab Page 354 355 Created With Publitas Com



A B C A B C 2 Ab Ca Proof A Plus B Plus C Whole Square Identity Proof Youtube



What Is The Formula Of A B C 2 Quora



Ftir Spectra Of Adsorbed Pyridine Over Various Catalysts At 0 C Download Scientific Diagram



How Did We Get A B C A B C 2 Ab Ca Youtube



If A B C 8 And Ab Ca 19 Then Find B2 C2 Brainly In



Page 58 Website 114



Sci Pi Simplify A B C A B C Facebook



What Is The Formula For A B C Quora



Ethiopian Diabetes Association Patient Education Program ƒaaa E Isu Tiu Kis C E Isu ƒui ƒ Yao U Od C Yaoc Etm Waemne D Eƒ ÿo Ppt Download



10 Pts Calculate The Following A Find The Real And Imaginary Parts Of E 3 Nj B Homeworklib



Solved Suppose U And V Are Functions Of X That Are Differentiable At X 0 And That U 0 5 Ua 0 Aˆ 3 V 0 Aˆ 6 And Va 0 Aˆ 2 Find The Values Of The Following Derivatives At X 0 A Ddx Uv



Effect Of Stand Heterogeneity On Changes In Wind Loading Ppt Download



Fchsmrshaley Weebly Com



Introduction To Assembly Language Coe 5 Computer Organization



Help With Maths Facebook



Img 4174 1 Ar Pv U 7 O Ol Aothµ C Ix0q Ad 1oia E Flickr



Ex 4 2 8 I Class 12 By Using Properties Of Determinants Prove



Wom B E B N U U O A E Eu9 O Vk Jgck Wo F Oo U Pressreader



What Is The Formula Of A B C 2 Quora



Ejercicios Resueltos De Electricidad Con Ley De Coulomb



Prezentaciya Sostav I Ustrojstvo Kompyutera Shoe



A B



Physics Blackboard Square Mouse Pad Kawaii Amazon Fr Fournitures De Bureau



Page 37 Website 131
コメント
コメントを投稿