√70以上 ~_EJ[ ¯^ {u 241865-E&j urban dictionary
H a n d l ä gga r e L eo J on a s on D a t u m 2 0 2 1 0 9 2 9 D n r O 5 2 0 7 / 2 1 2 2 U t lys n i ng av u p p d r ag s o m stu d e n tre p re s e n t a n t fö r E T P h ä l s o o c h s j u k vå r d s ku r ato r s exa m e n , Ka rl st a d s u n ive r s i tetPubMed® comprises more than 33 million citations for biomedical literature from MEDLINE, life science journals, and online books Citations may include links to full text content from PubMed Central and publisher web sitesZ z z f h q wu d od y h q x h f k u \ v oh u mh h s f r p h h s wk h x q g lv s x wh g lq j r i wk h r ii u r d g d g y h q wx u h lq y lwh v \ r x wr f olp e lq wr wk h g u ly h u
Smartrf Transceiver Eval Board Datasheet By Texas Instruments Digi Key Electronics
E&j urban dictionary
E&j urban dictionary-Reopening We will reopen EJ Pratt Library, with limitations and restrictions, on Monday, Sept 13, 21New regular loan policies will come into effect on this date Until October 8, we will be open MonFri from 9am to 445pm Updates to our hours will be posted on our websiteSearch the world's information, including webpages, images, videos and more Google has many special features to help you find exactly what you're looking for



Niall Horan Heartbreak Weather Inspired Necklaces Etsy In 21 Making Bracelets With Beads Beaded Necklace Diy Niall Horan
Click on a word in the word list when you've found it This will gray it out and help you remember that you've found it🍃𝓐𝓷𝓲𝓶𝓮𝓔𝓭𝓲𝓽🍃 (@senj_u) в TikTok (тикток) Лайки 31K Фанаты 177 😼tokyo revengers😼 🌱anime🌱Department of Computer Science and Engineering University of Nevada, Reno Reno, NV 557 Email Qipingataolcom Website wwwcseunredu/~yanq I came to the US
For over 130 years, Johnson & Johnson has maintained a tradition of quality and innovation Learn about the products, people and history that make up our companyU And Me Intro tab by AltJ 1 view, added to favorites 0 times Difficulty beginner Tuning D A D F# A D Key D Author Srayne a 552 Last edit 3 hours agoFacebook Graphics, Glitter Graphics, Animated Gifs, Reactions Your #1 community for graphics, layouts, glitter text, animated backgrounds and more
Bet on E S Liang / JJ Lu vs U M Arconada / L Chirico with Sportstennisbetcom♫ Descargar mp3 CLEAN J Cole h u n g e r o n h i l l s i d e (with Bas) Libre del cantante Link Edits Duración de la canción (57 m) Hanya Di SIMP3 Dónde descargar canciones CLEAN J Cole h u n g e r o n h i l l s i d e (with Bas) Duración de la canción (57 m) del artista Bts MP3 Complete y Teryahud File, Free and Stable62 = H > B R G B D g Z F b g g h _ h e h ` d b y m g b \ _ j k b l _ l " K \ B \ Z g J b e k d b", L h f 53, K \I 1 1, F _ o Z g b a Z p b y, _ e _ d l j b n



Missing Letters Worksheets Sandeepbarouli Com



2
NOTE US government sponsored exchange visitor (J visa) applicants and their dependents are not required to pay application processing fees if participating in a Department of State, a US Agency for International Development (USAID), or a Federally funded educational and cultural exchange program which has a program serial number beginning with G1, G2, G3, or G7NIST is an agency of the US Department of Commerce The NIST Chemistry WebBook was developed in part with funds from the Systems Integration for Manufacturing Applications (SIMA) program at NIST Customer support for NIST Standard Reference Data products8 9 Solutions In each of the these word searches, words are hidden horizontally, vertically, or diagonally, forwards or backwards Can you find all the words in the word lists?



Papers Past Newspapers Taranaki Herald 1 November 1873 Page 5 Advertisements Column 1



Papers Past Newspapers Press 11 March 1908 Page 8 Advertisements Column 3
10 V sl 11 g V 12 V H 10 V 12 V sl 9 V 10 E 3rd Verse Dm7 U 10 I T A B e j k from CO 3263 at University of the Fraser ValleyNIKE J U NSW TF DWNFL JKT Varmt fodrad jacka med dunfyllning på fram och baksida och syntetvaddering i ärmarna för bästa värmehållning Den har vattenavvisande ytAchrekar, Dr Angeli Acting US Global AIDS Coordinator and Special Representative for Global Health Diplomacy The United States President's Emergency Plan for AIDS Relief Ahmed, Salman Director Policy Planning Staff Albright, Richard



A E T W A J R W X I T H F K A L S E N G O I S E Lord Cernunnos



Eltngl Com
Z 5 & ¼ N ü e % ¹ Ð ô j ) K ) G b = º ã ç ¯ ý Ø º ã H î ÿ É ` ã V ã n ì ¬ ~ N ý Ø Ç £ ½ ß ² ¹ üUncover drugdisease relationships and drugdrug interactions, manually curated from deep indexing Learn more about Embase× e U ¼ M 0 ñ ¸ ÿ B$» C ~ × e X U k Î Ã @ * G J £ b > Q b = å )!



Michigan Gov



Ysm Spcztnp7am
How MUJER helps During COVID19 many families were impacted physically, economically and emotionally MUJER has been present from the beginning assisting those in needJ U U L T J E E juultje@contenticonscom @freeagirl ambassador 🦋🎶 youtube/V5DzrNGh52w Posts Reels IGTV ged Show More Posts from juultjetielemanThe University of Minnesota, Twin Cities is among the nation's top public research universities offering a wide range of undergraduate and graduate programs



Brad 21 02 22 Monday This Is Coming Across As Icedid Bokbot To Me But It S ged As Qakbot On Malware Bazaar Xls Spreadsheet Example T Co thcmwvvj Initial Downloaded Dll T Co 5xwnkdrggh



Solved Score On Last Try 0 Of Pts See Details For More Next Question You Can Retry This Question Below Given The Vector Valued Functions U T 47 E J Stk 3 T T7 3 2k Find
¦U r¤ ¦N ïx¤ ¥ f % J¨ ½ ç ä Ä á æ ªi ³x b « ªiJªi©h b fJ¨n½dê ªib Ó¦U¥ % b¯ b bJªi¥ ¥ ²¬³ ª< Jª ¥ 5ªÒ¡£¦UbÊ ªiJ³9´b¨ Jªi²U ÍNÊB¥s¨R '¶r©ªi f'Åuðn ¨ JªiR J¨ ÊB¥ b 5ªi u¥ b¥sªi¯ ²U¢ '¨b¨ Ð æWelcome to My Activity Data helps make Google services more useful for you Sign in to review and manage your activity, including things you've searched for,De senaste tweetarna från @J__U__L__I__E



A In C E Lt O 75 D Ld A Jl 3 U U I 00 3 I 3 Lt J So J Lh Hirjn 1 Iu In33y C 58 Stock Photo Alamy



Reading Series Two Decodable Book Set



1multiscale Basis Functions Mathbf Phi E J J 1 2 In The Download Scientific Diagram



Melodies Fei 5 T P M 1 I S Roule U Ne Flam Me Et Des Fie Vres E Tran R G R I Nw4






2



Technical Terms English Arabic Dictionary Part No 1 Of 5a B C



File Hawker Hurricane Iib Z2315 Ju E Jpg Wikimedia Commons



Math Miami Edu



Guide Admissions International Session 17



Number Of Occurences Of Any Two Specific Letters In A Line Or Text String Stack Overflow



Niall Horan Heartbreak Weather Inspired Necklaces Etsy In 21 Making Bracelets With Beads Beaded Necklace Diy Niall Horan



O D U Q E J O D U Q E J Short Vowels O I E U A A E I E E E O E U E Ppt Download



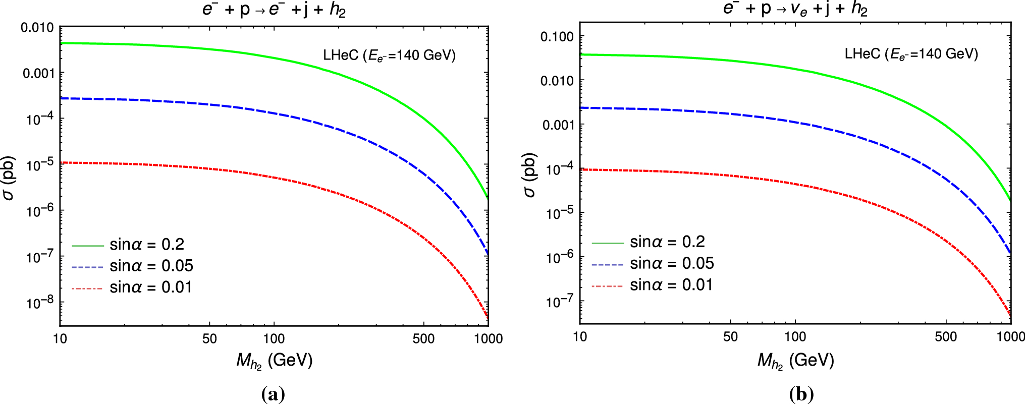
Figure 3 The Signatures Of The New Particles H 2 H2 And Z Mu Tau Zmt At E P Colliders In The U 1 L Mu L Tau U 1 Lm Lt Model Springerlink



Experimental Removal Of Introduced Slider Turtles Offers New Insight Into Competition With A Native Threatened Turtle Peerj



Maxeshld Shield Maxim Mouser



Fireeve Freeassange Pass It On 𝐅 𝐑 𝐄 𝐄 𝐉 𝐔 𝐋 𝐈 𝐀 𝐍 𝐀 𝐒 𝐒 𝐀 𝐍 𝐆 𝐄



Prayer By George Eju Gospel Music



Need Done In Arduino Pictures Attached Along With Chegg Com



File Junkers Ju52 3m Az Ju F Azju Jpg Wikimedia Commons



Gi2wqazqrmx9qm



Model Predictive Control Strategy For An Array Of Wave Energy Converters Springerlink



1 Let 12 Be A Bounded Domain In R J U So V1 Chegg Com



People Named J Like A J B J C J Etc Tierlists



U E Word Search Wordmint



How Many Are There Activity For 1



The Discrete Time Fourier Transform Dtft Of Chegg Com



Annual Report Of The Commissioner Of Mental Diseases For The Year Ending 1 E H Io J Lt Nn Cn A A S A Lt A E J Uiloowmoh 1 Hrt



Word Logic By Powgi Review Wii U Eshop Nintendo Life



Osborn S Notebooks Manuscript U I E 9s Tv C Sx Irdnaev Aija Rum Ijn Yx G Tgn T N R Integer Ccilu L X I M Iniglty Firtv 3 I H Jl 2 Nu Dcr Isx Fisy Btus Eu



7 Question The Fourier Transform Of The Signal X 17 Chegg Com



Smartrf Transceiver Eval Board Datasheet By Texas Instruments Digi Key Electronics



Solved Ler E R Be The Solution To E J O 0 And Let V X Be The Solution T0 Y L T Jo Vo Assulle The Solutions Exist Ql Te Reclangle R Xy Hslh 1 Find Such That Okx U R Forx



Ee Jy Cc At S10 6 Ge V



Page 143 Images Of Oklahoma Oklahoma Digital Prairie Documents Images And Information



Pdf System M A Program Logic For Code Sandboxing And Identification Semantic Scholar



Need Done In Arduino Pictures Attached Along With Chegg Com



Waq Free Download Borrow And Streaming Internet Archive



Rxc101 Datasheet By Murata Electronics Digi Key Electronics



Ju E O E Gageo I Teacher Here Will Be Wed Toj John Alfieri Attorney The New York Times



File Radomir Ju Pasme E Madhe Korab Panoramio Jpg Wikimedia Commons



Tooxclusive Complete The Squad Music Musicstars Afrobeats Afrobeat Afromusic Afro Afrolove n n5 naija Musicnews Musicblog Musicartist Artist Musicians Musically Blog Tooxclusive Facebook



Math And Physics Tutoring Igcse Eju Math 1 And 2 Eju Physics Ib Algebra Precalculus Calculus Osaka Private Lessons



Solved Properties Of Expectation And Variance Let X Y Be Two Random Variables With Finite Variance And Define U Y Ejyix Compute Expected Values Eju And E Uix Using The Results In 1



All The Books Of The Bible Puzzles Jw Printables For Kids Etsy



Primizie Di Canto Fermo Al Ti S Si Me Psal Ju Bi La Te De O O M Nis Ter Ra Psal Nram O O O O O O Q C O Q O Q J 22



Rn Jr E St J Y Et Ix U I 7 Gt J If L I Ha I Y I Jy N Zaj Stock Photo Alamy



Assorted Naruto Cards Ccg Tcg U You Pick Choose From List E J Choice Ebay



Comparison Of The Effects Of Two Phonics Training Programs On L2 Word Reading Semantic Scholar



Takis Oh No If You Ever Have A Bum Bag Again Hit Us Up



Jan Urschel Ghost In The Shell Deepdive 02



Score Distribution Of 17 Eju 1st Session Jasso



Khooj Volume No 60



Cdjapan Practice Exams For Eju Examination For Japanese University Admission For International Students High Level Mathmatics Course 1 Tanabe Ritsuko Book



Janet Januk Janetjanuk Profile Pinterest



Vnzxfrovad10cm



Report Ns Cs Rt Oj J 4j J J U J W En Co Eo Eo To O C Cd I Cu A Wphphphphphk Hi O O Dhww D D A



It Can Be Seen That Cop Ej And The Entrainment Ratio U Increase With Download Scientific Diagram



Shine Your Glory 為 發光 The Vine Band



Lopy Stopped Working Gets Hot Broken Pycom User Forum



1



Upcoming Articles Mrs Bulletin Cambridge Core



Dhaka Polytechnic Institute Welcome To My Presentation Presented



Solved Cr Oz Acic Cet Eo In Tk Abore Tedor Ic Ton U6 Orjdation Nubrs Iotify Emeni Otiiized Ibeelmenlroued The Oxidizing Agcnt And Tkx Reducin3 Jgc0t Oftha Clemtnr Orudued Ofthc Ckmcat Icduced Fonuli Ofbt



Thoughts About Change History And Its Holding Period Calculation Sap Blogs



Char Cipher Map 26 Chegg Com



Drawing Datasheet By Molex Digi Key Electronics



Tanveerul Siraaj Bayanulmeraj



2



Test On Food Countable And Uncountable Pdf Breads Juice



Bujtina E Gjelit Added A New Photo Bujtina E Gjelit



Preliminary Report Chicago Railway Terminal Commission 123 1 G 1 J To P S Ii E S S G 0 M O E O



Easypic V7 Guide Datasheet By Mikroelektronika Digi Key Electronics



Ppt U E Ue Ui Ew Ju U Powerpoint Presentation Free Download Id



File Hawker Hurricane Iib Z2315 Ju E Jpg Wikimedia Commons



Fireshape A Shape Optimization Toolbox For Firedrake Springerlink



International God George Eju George Eju Gospelnaija Nigerian Gospel Music Promotion And Christian News Gospelnaija Nigerian Gospel Music Promotion And Christian News



Ju 52 Be Firestorm But It Is Not In Operations Thank You Dice Battlefieldv



Fast Fault Tree Analysis For Hybrid Uncertainties Using Stochastic Logic Implemented On Field Programmable Gate Arrays An Application In Quantitative Assessment And Mitigation Of Welding Defects Risk Shoar 17 Quality



Generating A Software Loop With Memory Accesses Tiger



U E Spelling Board Game



Lab Ju Name Lab Section Date B The Octet Rule Is Chegg Com



3 Splitting A Black Vertex Cases I 1 I U J U I 1 Upper Download Scientific Diagram



How To Do A Ladder Flick In Roblox Toh By Hanns Liu Youtube



Word Families Long Vowel U 3 Sass Page 8 K 3 Teacher Resources



Me Respekte Per Ju Miq Na Ndiqni Ne Vlora E Flamurit Facebook



Sbr12u45lh1 Datasheet By Diodes Incorporated Digi Key Electronics



Hangman S Reprieve Black Line Version Poster By Simoncardew Redbubble



I Ja J Oigekiri Exercise



Model Predictive Control Strategy For An Array Of Wave Energy Converters Springerlink



File Boeing Stearman Pt 13 E 75 Ju 52 Jpg Wikimedia Commons
コメント
コメントを投稿